
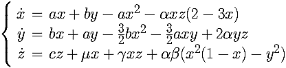
The following model is an example of a three-dimensional vector field exhibiting all types of homoclinic bifurcations. It was developed by Björn Sandstede and in a simplified form, the equations are

We choose fixed parameters a = 0.125, b = 0.875,
c = -2,
= 1,
= 1, and
= 3. The parameter
is the continuation parameter.
The origin is always an equilibrium. For
< 0 a twisted saddle periodic orbit
exists that disappears in a twisted homoclinic bifurcation at
= 0.
![]() |
The animated gif shows the unstable manifold rotating about the z-axis, centered at B (3.4MB). |