Also: More global
manifolds
Up: Multimedia supplement
Next: The optimal control problem
Invariant manifolds of the Lorenz system
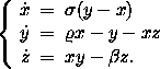
The Lorenz system is the three-dimensional vector field
We choose the standard parameter values
= 10,
= 28, but
take
=
0.4. The two-dimensional stable manifold of the origin interacts now
with an attracting periodic orbit. The colored bands on the manifold
show the steps that are taken by the algorithm. Note how the algorithm
slows down each time a new helix around the z-axis is being formed.
 |
Still images of the manifold at several instances during the
computation. As the manifold grows, it wraps around the attractor,
eventually covering it completely.
|
|
|
 |
The animated gif shows how the stable manifold grows, while it rotates
about the z-axis (1.2MB).
|
Next: The optimal control problem
Up: Multimedia supplement
Also: More global
manifolds
Copyright © 1998 by
Hinke Osinga
Last modified: Fri Sep 8 11:05:04 2000